Die physikalischen Grundprinzipien der Rogowskispule
Immer häufiger werden für Strommessungen so genannte Rogowskispulen eingesetzt. In vielen Bereichen ist der Einsatz dieses Messmittels sinnvoll oder notwendig, weil in Bestandsinstallationen kein Platz für klassische Stromwandler vorgesehen war. Doch oft werden bei der Projektierung Fehler begangen, die Bauteile schädigen oder das Messergebnis negativ beeinflussen können. Ein gutes Verständnis ist daher bei Elektrofachkräften oder Planern unabdingbar.
Die Rogowskispule ist eine toroidförmige Spule ohne ferromagnetischen Kern und dient als Bestandteil elektrotechnischer Messgeräte zur Messung von Wechselstrom. Da diese Spule keinen Kern aufweist, zählt sie zu der Gruppe der Luftspulen.
Die grundlegende Idee zu ihrem Aufbau, welcher die von Wechselströmen in Luftspulen induzierte Spannungen ausnutzt, hatte Arthur Prince Chattock 1887.

Die Bezeichnung ist seit der Veröffentlichung 1912 von Walter Rogowski (1881–1947) als „Rogowskispule“ oder „Rogowski-Stromwandler“ bekannt.

Der Aufbau der Luftspule ist nach der Produktion nicht mehr veränderbar. Die Induktivität ist damit als konstant anzunehmen. Wie in der Abbildung ersichtlich handelt es sich bei dem Ausgangssignal der Rogowskispule um ein Spannungssignal, das sich proportional zur Änderung des Primärstroms verhält. Handelt es sich bei dem Primärstrom
W. Rogowski, W. Steinhaus: Die Messung der magnetischen Spannung. In: Archiv für Elektrotechnik. 1, Nr. 4, 1912, S. 141–150, doi:10.1007/BF01656479.
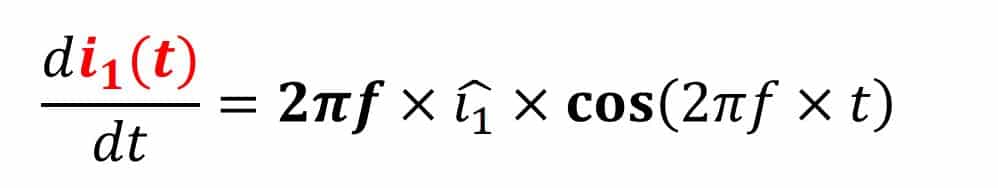
um ein sinusförmiges Wechselstromsignal kann der Primärstrom durch folgende Gleichung mathematisch beschrieben werden.

Um die Stromänderung zum Zeitpunkt (t) zu bestimmen, ist es nun erforderlich die Ableitung zu bilden.

Die Variable ist die Zeit t. Zuerst leiten wir den Sinusterm nach t ab. Dadurch generieren wir den zusätzlichen Faktor 2πf und erhalten aus der Sinusfunktion eine Cosinusfunktion.
Wie in Abbildung 2 schon deutlich wurde, ist die Ausgangsspannung u_i proportional zur Ableitung des Primärstroms. Die Ableitung beinhaltet nun statt der Sinusfunktion die Cosinusfunktion, wodurch das Ausgangssignal um -90° zum Primärstrom versetzt ausgegeben wird.

Wie bei einer Induktivität üblich, eilt die Spannung dem Strom um 90° voraus. Desweitern ist die Spannungsamplitude des Ausgangssignals nicht nur von der Zeit t abhängig, sondern ebenfalls von der Frequenz f.

Die Frequenz f bestimmt neben der Zeit t die Amplitude von ui.
Dies bedeutet, dass wenn die Frequenz des Primärstrom um 20 % von 50 Hz auf 60 Hz geändert wird, die Ausgangsspannung ebenfalls um 20 % ansteigt.
Diese mathematische Herleitung kann durch Messungen in der Praxis bestätigt werden. Hierzu wurde die MBS eigene Rogowskispule FASK bis 25 kHz gemessen. Das Frequenzverhalten bis 25 kHz ist nahezu identisch mit der rechnerischen Herleitung der Amplitudenabweichung.

Der Phasenfehler ist über die Frequenz bis 25 kHz relativ stabil bei den vorher schon hergeleiteten 90 °.

Um die Rogowskispule für Leistungsmessungen verwenden zu können, müsste der Phasenwinkel um -90° korrigiert werden. Die Amplituden der höheren Frequenzanteile müssten um den prozentualen Anstieg der Frequenz bezogen auf die Nennfrequenz ebenfalls korrigiert werden.
Mathematisch könnte das Ausgangssignal der passiven Rogowskispule nachträglich integriert werden. Aus der Cosinusfunktion wird wieder eine Sinusfunktion, so dass es keinen Phasenversatz mehr zum Primärsignal gibt. Die bei der Ableitung entstandenen konstanten Faktoren könnte durch eine entsprechende Division ebenfalls wieder rückgängig gemacht werden.
In der überwiegenden Mehrheit der Fälle wird eine elektronische Schaltung als Integrator verwendet, die die notwendigen Korrekturen am Ausgangssignal der passiven Rogowskispule vornimmt.

Energiemessgeräte, die bereits eine Integratorschaltung intern verbaut haben, können die Spannungssignale der passiven Rogowskispule ui direkt verarbeiten. Dies ist in der Regel die effizienteste Lösung.
Energiemessgeräte mit direkter Anschlussmöglichkeit von Rogowskispulen
Immer öfter wird der Energiebedarf einzelner Anlagen für die Kostenrechnung bzw. für das Energiemanagement benötigt. In der Industrieautomation gibt es bereits Module, die Ausgangssignale von Rogowskispulen direkt verarbeiten können. Für das IO-System SIMATIC ET 200 SP ist seit 2019 das Analogeingabemodul AI Energy Meter 480VAC/RC HF verfügbar . So lassen sich die Messwerte auch direkt im Programm zum Beispiel zur Vermeidung von Lastspitzen einsetzen, die durch das EVU für die Industriekunden häufig separat in Rechnung gestellt werden, bzw. Bestandteil für die Berechnung des Bereitstellungspreises sind.
https://support.industry.siemens.com/cs/ww/de/view/109759689

Dieses Modul kann neben den Signalen von Stromsensoren (333 mV) ebenfalls auch Sekundärsignale von Rogowskispulen verarbeiten. Der interne Integrator wird im Gerät automatisch zugeschaltet, sobald als Stromwandlertyp die „Rogowski-Spule“ aktiviert wird. In der folgenden Abbildung ist die Auswahlschablone abgebildet.


Es bieten sich die Rogowskipulen FASK von der MBS AG an, die alle einen Übersetzungsfaktor von 1.000 A auf 100 mV bei 50 Hz besitzen und in vier verschiedenen Durchmessern lieferbar sind (100, 150, 200 und 300 mm).

Das Übersetzungsverhältnis wird in der entsprechenden Software hinterlegt.

Das Energiemessmodul kann neben den herkömmlichen Funktionen eines Energiemessgerätes auch den Differenzstrom berechnen, der bezüglich Maschinenüberwachung und Energiemonitoring immer wichtiger wird. Da die FASK Rogowskispulen alle ähnlich abgeglichen werden und somit bei Amplituden- und Phasenfehler untereinander nur minimale Abweichungen besitzen, ist der errechnete Differenzstrom durchaus aussagekräftig. Besser ist es jedoch einen Differenzstrommonitor gemäß der IEC 62020 einzusetzen. Neben einer besseren Genauigkeit kann durch dieses Gerät und die permanente Überwachung des Differenzstroms auf die Isolationsmessung, die Bestandteil der Wiederholungsprüfung gem. der DGUV Vorschrift 3 ist, verzichtet werden.

Abbildung 11: Differenzstrommonitor RCMB 70 gemäß der IEC 62020 kann die Isolationsmessung innerhalb der Wiederholungsprüfung gem. DGUV Vorschrift 3 ersetzen. ( https://www.schutztechnik.com/posts/differenzstrommonitoring-in-der-industrie )
Der RCMB 70 von der MBS AG kann über einen 4-20 mA DC Ausgang mit einem entsprechenden Modul ebenfalls an die SIMATIC ET 200SP angebunden werden.
Anbindung der Rogowskispule an Stromzähler mit 1/5 A Eingängen
Soll ein herkömmliches Energiemessgerät, das in Deutschland zumeist über einen 1/5 A Messeingang verfügt mit den hochflexiblen Rogowskispulen ausgestattet werden, dann muss das Spannungssignal hinter dem Integrator in ein Stromsignal umgewandelt werden. Aufgrund der Verlustleistung sind 1 A als Ausgangssignal des Konverters zu bevorzugen. Die MBS AG bietet hier ein entsprechendes Gerät für eine dreiphasige Messung mit den FASK-Rogowskispulen an.

Das Ersatzschaltbild der Rogowskispule und des ROI-3 gestaltet sich dann wie folgt.

Abbildung 14: Elektrisches Ersatzschaltbild der Rogowskispule in Verbindung mit dem 1 A Konverters ROI-3
Unbedingt zu beachten ist bei der Verwendung des ROI-3, dass die Stromeingänge des Energiemessgerätes potentialfrei sind. Andernfalls gibt es keine plausiblen Messwerte bzw. der Konverter kann zerstört werden.
Die Zuleitungen zum Energiemessgerät und die jeweilige Eingangsimpedanz dürfen maximal 0,5 Ohm betragen. Im Zähler wird anschließend das Übersetzungsverhältnis des ROI-3 hinterlegt (z. B. 250 / 1 A).
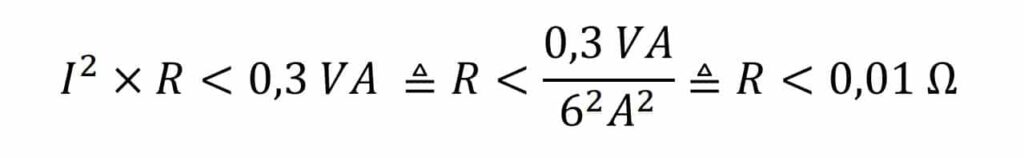
Viele Universalmessgeräte besitzen niederohmige Stromeingänge. Die Eingangsimpedanz der Stromeingänge besteht oftmals lediglich aus einem kleinen Stromwandler, wodurch die Eingänge potentialfrei sind. Die Impedanz eines Stromeingangs lässt sich mit der Angabe aus der Produktborschüre (< 0,3 VA @ 6 A) bei 1 A leicht berechnen.

Die Impedanz liegt also unter 0,01 Ohm, wenn wir vereinfacht die Impedanz als nahezu ohmsch ansehen. Somit muss der Widerstand der gesamten Zuleitungskabellänge unter 0,49 Ohm liegen.
Der Vollständigkeit halber ist im Folgenden noch die gesamte Anschlussskizze abgebildet.
Z. B. das Universalmessgerät der KBR GmbH: multimess F96
