Grundlagen Wickel-Stromwandler in der Niederspannung
IIn der Praxis ist es oftmals erforderlich, Ströme im Nennstrombereich unterhalb von 100 A zu messen. Da die meisten zur Strommessung eingesetzten Messgeräte jedoch nur über 1/5 A Messeingänge verfügen, kann maximal ein Strom von 5 A direkt mit dem Messgerät gemessen werden. Um Ströme zwischen 5 und 100 A messen zu können, werden in der Regel induktive Stromwandler eingesetzt. Der Einsatz von Durchsteck-Stromwandlern ist oftmals nicht möglich.

Dies ist darauf zurückzuführen, dass durch das physikalische Wirkprinzip von Stromwandlern mit sinkenden primären Nennströmen, der zur Übertragung einer bestimmten Leistung erforderliche Eisenkernquerschnitt stark ansteigt. Der erforderliche Kernquerschnitt eines Stromwandlers errechnet sich wie folgt.

Die oben genannte Formel macht deutlich, dass bei gleicher Bemessungsleistung Sr und gleicher magnetischer Flussdichte B der Bedarf an Kernquerschnitt mit abnehmendem primären Bemessungsstrom zunimmt. Dieser Zusammenhang ist in der folgenden Abbildung noch einmal visuell aufbereitet.

Um im genannten Primärstrombereich eine genaue Messung bei kleinstmöglicher Baugröße der Stromwandler zu erzielen, werden hier oftmals sogenannte Wickel-Stromwandler verwendet. Wickel-Stromwandler verfügen über keine, wie sonst bei herkömmlichen Durchsteck-Stromwandlern übliche, Primärleiterdurchführung. Zur Installation eines Wickelstromwandlers ist ein Auftrennen des Primärstromkreises (Laststromkreises) notwendig. Die Enden der Primärleiter werden anschließend direkt mit den Primär-Eingangsklemmen des Wickel-Stromwandlers verbunden. Um das gewünschte Übersetzungsverhältnis zu erhalten, wird der Primärleiter im Inneren des Wandlergehäuses mehrmals um den Messkern geführt.

Durch die höhere Anzahl an Primärwindungen kann gemäß der Formel in Abbildung 2 der erforderliche Kernquerschnitt abgesenkt werden.
Wickel-Stromwandler für Niederspannungsanwendungen sind bei der MBS AG bis 150 A in verschiedensten Ausführungen erhältlich.

Zur Gruppe der Wickel-Stromwandler werden auch sogenannte Zwischenstromwandler gezählt.
Zwischenstromwandler werden für primäre Bemessungsstromstärken bis ca. 10 A gefertigt und ermöglichen die proportionale Umwandlung des Eingangsstromes auf kleinere, bzw. größere sekundäre Bemessungsstromstärken. Sind beispielsweise größere Strecken vom Stromwandler zum Messgerät zu überbrücken, empfiehlt es sich den Hauptwandler mit einem Sekundärstrom von 1 statt 5 A zu wählen. So können die Zuleitungsverluste minimiert werden.
Um den Eigenverbrauch von Kupfer-Leitungen zu berechnen ist folgende Formel anzuwenden.

Abgeleitet aus dieser Formel kann festgestellt werden, dass durch eine Halbierung des ursprünglichen Sekundärstromes, eine Reduzierung der Leistungsverluste auf 25 % des ursprünglichen Wertes erzielt werden kann.
Kurz vor dem Messgerät könnte ein Zwischenstromwandler die 1 A auf 5 A umsetzen. Dabei ist zu beachten, dass die Genauigkeitsklassen des Haupt- und Zwischenwandlers zu addieren sind. Besitzt der Hauptwandler Kl. 0,2 und der Zwischenwandler Kl. 1 ergibt sich für das Gesamtsystem bei richtiger Bebürdung der Wandler ein möglicher Gesamtfehler von 1,2 %.
Hinweis: Da ein Zwischenstromwandler im Sekundärkreis eines Hauptwandlers eine zusätzliche induktive Last darstellt, muss dessen Eigenleistungsbedarf bei der korrekten Auswahl des Hauptwandlers berücksichtigt werden.
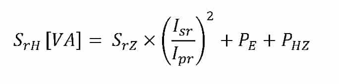
Zur korrekten Leistungsbemessung des einzusetzenden Hauptwandlers, verwenden Sie bitte nachfolgend aufgeführte Formel:

Legende:
S_rH Sekundäre Bemessungs-Scheinleistung des Hauptwandlers
S_rZ Sekundäre Bemessungs-Scheinleistung des Zwischenwandlers (Summe aus Leistungsbedarf der angeschlossenen Messgeräte und Leitungsverlusten der Sekundärleitungen)
P_E Eigenleistungsbedarf des Zwischenwandlers bei Nennstrom (typisch: ca. 3 VA)
P_HZ Leitungsverluste zwischen Haupt- und Zwischenwandler
I_pr Primäre Bemessungs-Stromstärke des Zwischenwandlers
I_sr Sekundäre Bemessungs-Stromstärke des Zwischenwandlers